Panneau d'affichage numérique des actes administratifs de la commune de Vic-Fezensac
05-12-2025 - Arrêté n°2025/243 - Occupation du domaine public TEMPO LATINO
05-Jan-2026 11:56
05-12-2025 - Arrêté n°2025/242 - Occupation du domaine public TEMPO LATINO
05-Jan-2026 11:56
05-12-2025 - Arrêté n°2025/241 - Occupation du domaine public TEMPO LATINO
05-Jan-2026 11:56
Tempo Latino 2025 : Arrêté Réglementation Fête
22-Jul-2025 16:32
Tempo Latino 2025 : Arrêté Camping de Cauderon
22-Jul-2025 16:32
Tempo Latino 2025 : Arrêté interdiction stationnement des campings-car sur la place Mahomme
22-Jul-2025 16:32
Tempo Latino 2025 : Arrêté interdiction de vente au déballage
22-Jul-2025 16:32
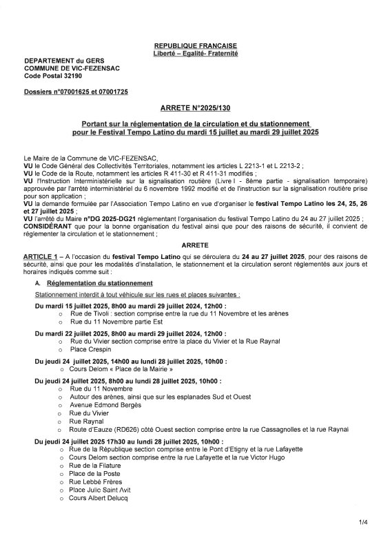
Tempo Latino 2025 : Arrêté Circulation et Stationnement
22-Jul-2025 16:32
Tempo Latino 2025 : Arrêté Randonnée Pédestre
22-Jul-2025 16:32
Tempo Latino 2025 : Arrêté Sonorisation
22-Jul-2025 16:32